坐標轉換中的七參數詳談,測量員值得收藏
坐標轉換永遠是測繪工作離不開的一個話題。坐標轉換的方法很多,有的方法可以用相應的參數來描述,其中使用較廣的一個是七參數。七參數大多用于不同坐標系統間的基準變換。
七參數的由來
對于非測繪的專業人士可能不太能理解“基準”這個詞語。簡單的理解就是坐標數值的零點,比如空間坐標的原點,再比如大地坐標的起算面。定義一個坐標系的三個基本要素是原點、指向、尺度。原點即坐標系的原點,指向即坐標軸的指向,尺度即長度單位和橢球。由于各個坐標系,或者說定義坐標系的組織所確定的這三個要素都有所區別,這就產生基準的變換,并且使用七參數在空間坐標中進行基準變換。

什么是七參數,又有哪七個參數呢?
七參數主要分為3類參數,旋轉、縮放和平移。縮放,表示為k,主要是由于測量誤差產生的;平移為3個坐標軸方向上的平移,表示為dX、dY、dZ,這是由于原點不一樣產生的;旋轉為3個坐標軸的旋轉,表示為rX、rY、rZ,這是坐標軸指向不一致產生的。
值得注意的是,旋轉存在方向的問題;不同的軟件,或者說不同地域的人的習慣差異,致使旋轉方向不一致,比如南方集團與天寶七參數旋轉方向一致,但與ArcGIS的就相反。因此同一個七參數在不同軟件中使用時需要考慮旋轉方向的問題,適當的時候做相應的變換才能完成正確的坐標轉換,即旋轉方向定義相反時,旋轉角取其相反數。
平移的單位為對應的長度單位,我們常用米;旋轉的單位為秒,原因是各個坐標系間指向的差異都很小;縮放的單位是PPM(part(s) per million,百萬分之一),也就是說縮放是一個特別小的數值,這是因為坐標轉換前我們都會率先統一單位,所以縮放數值也就體現了測量誤差等因素的影響。

七參數的應用
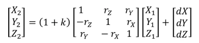
參數的應用過程細分為旋轉、縮放、平移三個過程。這三個過程的順序是如何的,我們來看一下公式:

簡化為:
![]()
上式中,X1為原始空間坐標,X2為目標空間坐標,K為縮放,R為旋轉,dX為平移。
可以看出,該順序是先旋轉,再縮放,最后平移。當然與之相反的是先平移,再縮放,最后旋轉,這是一個可逆的過程,方便了兩個空間坐標來回的轉換。這里為了方便說明,我們將旋轉、縮放、平移定義為七參數的正應用;平移、縮放、旋轉定義為七參數的反應用。
我們可以看看EPSG對一個坐標系定義:
+proj=longlat+ellps=krass+towgs84=28,-121,-77,0,0,0,0
其中七參數作為基準的定義,叫做towgs84,字面理解是轉換到wgs84所需的七參數,作用同樣是為了不同坐標系間的基準變換。EPSG在進行基準轉換前必須要說明原始的towgs84和目標的towgs84兩個七參數。
那么問題來了!
兩個七參怎么進行基準變換呢?為什么和WGS84有關系呢?在對比我們的熟悉的工程之星和SGO的坐標轉換,通常都只有使用一個七參的情況,這又如何理解呢?
首先,工程之星和SGO大多的轉換場景都是WGS84坐標轉換到XIAN80、Beijing54、CGCS2000等坐標,這里使用的七參數是原始坐標系直接到目標坐標系的七參數;而EPSG定義的七參數(基準)是坐標系本身轉換到WGS84坐標的七參數,只要兩個坐標系都知道如何轉換到WGS84坐標,其實就間接的知道這兩個坐標系間的基準變換。
至于為什么是WGS84,這是歷史原因造成的。因為WGS84是最先建立起來的全球坐標系統,衛星定位大多得到的是WGS84的空間或者大地坐標,為了能轉換為自己的定義坐標系下的坐標,都需要自身建立與WGS84的關系。
最后一問題,EPSG如何用兩個七參數進行基準變換。回到之前七參數的正反應用問題,原始坐標系的towgs84將原始坐標轉換為WGS84的坐標(以下簡稱84坐標),這里是正應用。得到84坐標后使用目標坐標系的towgs84得到最終的坐標,這里是反應用。其實我們的工程之星和SGO坐標轉換的原始坐標系和目標坐標系都可以指定七參數,只是使用的頻率較低常被我們忽略。但與前述的過程相反,原始坐標系的七參數是反應用,目標坐標系的七參數是正應用。隨著我們南方的發展壯大以及與國際的進一步接軌,使用兩個七參數進行基準變換的場景會越來越多,比如我們的新軟件GIStar,我們需要好好的理解其原理和過程,同時清楚現有功能和新功能的差異,使坐標轉換更加得心應手。

七參數的細節
與towgs84相反的是fromwgs84,在旋轉和縮放很小的前提下,兩者互為相反數。fromwgs84可以參考天寶的坐標轉換工具。如何區別towgs84和fromwgs84呢,其實很好理解,七參數正應用使非84坐標轉換為84坐標,那么該七參數為towgs84;七參數正應用使84坐標轉換為非84坐標,那么該參數為fromwgs84。我們工程之星和SGO以wgs84為原坐標系的轉換場景,其使用的七參數都為fromwgs84。
回到前面提到的公式,該場景下X1為84坐標,X2為非84坐標,例如XIAN80,那么k、R和dX組成的七參數為fromwgs84,X2與X1調換,則為towgs84。

七參數的求解
求解7個參數,我們至少需要7個方程,一對空間坐標可以列3個方程,也就是說我們需要至少3對點,通過最小二乘的方法解算出七參數。當然點的數量也是有講究,不是剛好3個點就好,也不是點越多越好,具體需要參考實際情況。
七參數作為基準變換的工具,其適用較大的區域乃至全球,我們需要在該區域選擇均勻分布的控制點來求解七參數。小區域所求解的七參數是不適用的。這里再提一下towgs84和fromwgs84,原為非84坐標,目標為84坐標,所求得的七參數為fromwgs84,相反則為towgs84。
以上為坐標轉換七參數的介紹,希望對大家有所幫助。
更多相關
科力達KTS-551R10全站儀的特點及優勢
科力達KTS-551R10全站儀作為國產1秒全站儀的代表之一,憑借其高精度、智能化設計和性價比優勢,在工程測量、地形測繪、建筑施工等領域廣受認可。以下從核心技術、功能特點、應用場景及市場競爭力等方面詳...
徠卡LS15電子水準儀-圖像測量&自動對焦,開創水準測量新模式
在水準測量中,難免會遇到各種復雜的測量情況,為保證水準尺最低和最高讀數不超限,我們往往將水準儀架的很高或很低。 傳統的手動調焦方式,我們需要在目鏡中進行照準精瞄和調焦,面對各種極限情況,我們往往...
東令營活動走進浙江測繪與地理信息科技博物館
為了進一步“強化國家版圖意識,共同守護美麗中國”,1月24日,新埭中心小學組織開展了“行走于創新之路——新埭中心小學測繪科普冬令營活動”。浙江省測繪與地理信息科技博物館于2018年12月17日正式...
沉降觀測步驟詳細講解,高精度水準測量流程
沉降觀測即根據建筑物設置的觀測點與固定(永久性水準點)的測點進行觀測,測其沉降程度用數據表達,凡一層以上建筑、構筑物設計均要求設置觀測點。既然沉降觀測這么重要,今天就為大家帶來一期沉降觀測詳細步驟...
科普:這個定位的儀器到底是叫GPS還是叫RTK?那GNSS又是啥?
這個用來定位的儀器,有人叫它GPS 也有人叫它RTK 還有人說這是GNSS,不是GPS也不是RTK 針對以上幾個關鍵詞,我們探討一下什么稱呼才是正確合理的 1、首先來我們看看什么叫GPS ...
租一臺徠卡全站儀多少錢?
全站儀作為一種高精度測量儀器其售賣價格是比較高昂的,所以很多人選擇了租賃。那么,租一臺徠卡全站儀多少錢呢?其實想要知道這個問題,需要根據用戶租賃徠卡全站儀的品牌、型號和租賃時間來看。環球小編查閱了相關...
測繪技藝多日苦練終有成,南方測繪杯拉開帷幕
西湖的雨、白堤的浪、錢塘的潮、蘇堤的柳、靈隱的禪、南屏的鐘……杭州,一座天堂般的城市!西湖,一個夢一般的所在!7月25日,在這仙境般的美麗華貴之城,在濃妝艷抹總相宜的西子湖畔,測繪地理信息人翹首以...
徠卡-如何讓全站儀1秒鐘采集500萬個數據?
1977年6月,WILD公司在國際測量師協會(FIG)會議上,首次對發布全站式電子速測儀TC1,從此外業“打點”,內業“連圖”的模式開始在大比例尺測繪中普及。 直到當今,全站儀作為百米量級上最高...











環球測繪微信